One of the key points to consider when choosing the right centrifuge is the maximum speed, if this is within your procedures. There are two speed measurements for centrifuges, called RCF and RPM, and although they are used interchangeably, they are actually very different measurements.
RPM - revolutions per minute
Click on the picture to see more centrifuges
In simple terms, this is how many times the rotor rotates per minute. This measure cannot be compared across different centrifuges as it does not specify the force applied and this will vary according to the radius of the centrifuge as described below. If your method details RPM but you are using a different size centrifuge, you will need to convert it to RCF to ensure the same force is used.
RCF - relative centrifugal force
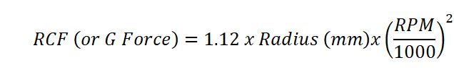
It is also known as the g-force and is a measure of the actual applied force. It is calculated using RPM and the centrifugal radius (the distance from the center of the rotor to the bottom of the tube being spun). You can use the following formula to calculate:

This measurement is transferable between centrifuges of different sizes, so most protocols will detail what you need in the RCF.

