Surface energy is often measured indirectly through contact angle measurements, which can be a useful qualitative measure. Quantitative data can also be obtained by using a variety of different models. Most of them are based on Young's Equation 1, which takes the form of Equation 1:

In the above formula, σ s is the surface energy of the solid, σ sl is the interfacial tension between the liquid and the solid, σ l is the surface tension of the liquid, and θ is the contact angle between the liquid and the solid.
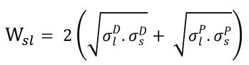
The Dupré equation can be used to relate interfacial tension and interactions between solids and liquids. The interaction is usually described in terms of the work of adhesion, W sl , which represents the work required to separate the two phases, or the energy released in wetting. This is visible in Equation 2:

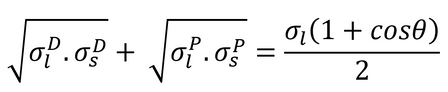
This relationship is similar (but not identical) to the relationship between interfacial tension and the spreading coefficient S:

The diffusion coefficient measures the tendency of a liquid to wet a solid, where wetting occurs at positive values.
Equation 2 and Equation 3 can be combined into the Young-Dupré equation, which is the basic form used by many surface energy models:

Different models incorporate different interactions when calculating surface energy, and meaningful values between them are not always directly comparable, even for the same sample.
Zisman model
One of the basic and widely used methods for calculating surface energy is the Zisman model published in 1964. 2 This model assumes that the surface energy of a solid is equal to the maximum surface tension of a liquid with a contact angle of 0°, which is called the critical surface tension .
The contact angles (in cosθ) for a series of liquids on a surface are plotted against the surface tension. Then extrapolate to find the surface tension at cos θ = 1, where θ = 0°, and the surface tension is equal to the surface energy of the solid.

Since the Zisman model ignores the effects of polar interactions, it is only suitable for non-polar surfaces (such as polyethylene). For polar surfaces (including those containing heteroatoms), a model that includes polar interactions is required.
Fowkes and extended Fowkes models
A common method for calculating the surface energy of polar surfaces is the Fowkes model published in 1964. 3 Fowkes' theory evaluates the interaction between liquids and solids in terms of "dispersive" (van der Waals) and "polar" interactions. These interactions will add up to form the overall energy:

where σ s D and σ s P are the dispersive and polar components of the solid surface energy, respectively.
The initial Fowkes theory is shown in Equation 6:

where σ l D and σ l P are the dispersion and polar components of the liquid surface tension, respectively. The theory uses geometric means for each type of interaction, in contrast to the similar Wu model4 which uses harmonic means.
By combining Equation 4 and Equation 6, we can obtain Fowkes' main equation, shown in Equation 7:

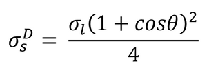
The first step in calculating the surface energy is to measure the contact angle of the purely dispersed liquid, that is, σ l P = 0 and σ l = σ l D, simplifying Equation 7 to Equation 8:

Using it, σ s D can be directly calculated when the surface tension of the liquid is known. A common material used here is diiodomethane, which has virtually no polar component to its surface tension (due to molecular symmetry), meaning that σl = σl D = 50.8 mN/m.

The next step is to measure the contact angle of a liquid with known dispersion and polar components. The material commonly used here is water, where σ l P = 51.0 mN/m and σ l D = 21.80 mN/m. 5 By substituting this into Equation 7, along with the surface tension and the previously calculated σ s D, the value of σ s P can be calculated. The surface energy value is the sum of the surface energy components, as shown in Equation 5.
The model is suitable for low-charge surfaces of moderate polarity, such as polymers with heteroatoms.
Fowkes' model can also be extended6 to include a third interaction component, σH, which describes intraphase hydrogen bonds. Therefore, this calculation requires three liquids with known compositions and is therefore not used as often as the standard Fowkes model.
Owens-Wendt-Rabel & Kaelble Model
The Owens-Wendt-Rabel & Kaelble model (OWRK) was published in July 1969 and in 1970. 8 It is mathematically equivalent to the Fowkes model, but derived from different principles.
The OWRK model is shown in Equation 9:

OWRK requires at least two liquids with known dispersion and polar interactions. If these are unknown, a reference solid such as untreated PTFE can be used to determine them. This can be assumed by the assumption that 9 has a surface energy of ~18.0 mN/m and cannot undergo polar interactions, implying σs = σsD = 18 and σsP = 0. By plugging this into Equation 9, we get Equation 10:

Therefore, the contact angle on PTFE can be used to calculate σl D for any liquid for which the total surface tension is known. σlP can then be calculated using the difference between the total surface tension and σlD.
Once the dispersion and polar interactions of the liquids are known, they can be used to calculate the surface energy of the new surface by plotting each liquid on a graph in the form of Equation 9. The slope between liquid points is equal to √ σ s P and the intercept is equal to √ σ s D. The total surface energy can then be calculated using Equation 5.

OWRK can be used for materials similar to Fowkes, but is better suited for slightly lower energy surfaces and requires more experimental work.
van os - good model
While dispersion and polar interactions represent many surfaces well, neither Fowkes nor OWRK consider other important interactions (such as hydrogen bonding). The Van Oss-Good model was published in 199210 and takes into account acid-base interactions. The model combines polar and dispersive interactions with acid ( σ + ) and base ( σ - ) components as one term. The acid composition describes the ability of a surface to interact with basic liquids (i.e. liquids that can donate electron density) through polar interactions such as dipole-dipole bonds and hydrogen bonds. The base component describes the opposite of this (e.g. interaction with an electron-accepting acidic liquid).
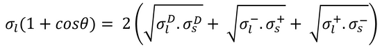
The main equation of the Oss-Good model can be seen in Equation 11:

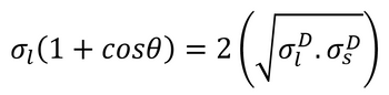
By choosing a liquid with only dispersed components, such as cyclohexane, the equation can be reduced to Equation 12:

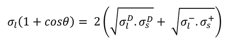
This means that the contact angle can be used to calculate σ s D. Repeating this process with an acid-free liquid such as THF yields Equation 13:

This can be used to calculate σ s +. Repeating this for a liquid without a base component (e.g. chloroform) will give σ s - which can be used to calculate σ s by adding all three components. Alternatively, once σ s D and σ s+ or σ s − are known, the remaining composition can be calculated from Equation 11 by using a liquid (such as water) with known acid and base compositions. This is useful if it is difficult to find a liquid that does not contain acid/base ingredients.
The Oss-Good model is suitable for polar surfaces such as organometallics. However, it is difficult to determine the unknown acid and base compositions of liquids because there is no defined set of reference solids.

